Salomón Korn sigue incumpliendo casa por cárcel: a estos conciertos asistió
Salomón Korn sigue paseando a sus anchas por el país, a pesar de tener casa por cárcel. Sigue La W conoció nuevas pruebas de los conciertos a los que ha asistido.

Los conciertos a los que asistió el mafioso Salomón Korn estando en casa por cárcel
El código iframe se ha copiado en el portapapeles
Después de que W Radio revelara en exclusiva que Salomón Korn, quien sería líder de una organización dedicada al lavado de activos a través de exportaciones ficticias, violó su orden de detención domiciliaria, se han conocido nuevas pruebas de que sigue paseando a sus anchas por el país.
Más información
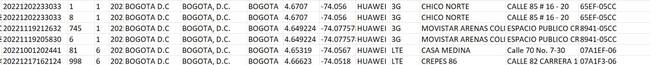
En esta ocasión, Sigue La W conoció cuáles han sido los conciertos en Bogotá a los que Korn asistió en 2022, según el registro que revela dónde estaba el celular registrado a su nombre.
Uno de los conciertos fue el de la cantante británica Dua Lipa el 18 de septiembre, ya que el aparato se encontraba en inmediaciones del Parque Simón Bolívar. Según el registro, el equipo se encontraba en este sitio aproximadamente entre las 6:28 de la tarde hasta las 10:01 de la noche, es decir, durante el espectáculo.
Otro concierto al que habría asistido Korn fue en octubre 12, cuando se presentó en la capital el cantante español C. Tangana. En esta oportunidad, el registro refleja que el celular estuvo activo más o menos entre 7:25 y 9:45 de la noche.
El 19 de noviembre, cuando Coldplay se presentó en Bogotá, el celular de Korn tuvo actividad en inmediaciones del Movistar Arena (ubicado junto al estadio El Campín, donde tuvo lugar el concierto de la banda británica) alrededor de las 9:26 de la noche.
Conozca los detalles de esta denuncia en Sigue La W:
Las pruebas







Lina María Vega
Egresada de Periodismo y Opinión Pública de la Universidad del Rosario, con énfasis en la Maestría de...






