Llamativa licitación en Colpensiones: harían menos, pero cobrarían más
Este contrato le podría costar al país 70.000 millones de pesos.

Colpensiones. Foto: Suministrada. / Cortesía Colpensiones

Sigue La W conoció dos convocatorias de Colpensiones, una de 2020 y una actual en donde se buscaría contratar servicios similares.
Lo llamativo del hecho es que por la convocaría actual se estaría cobrando más dinero, por menos servicios.
La convocaría actual, que es pública, está abierta hasta el próximo viernes 8 de agosto. Se trata de la convocatoria pública No. 006 de 2023.
El precio estimado total es de aproximadamente 72.400 millones de pesos y el contrato tiene una duración de 26 meses.
La descripción de la convocatoria consta de:
- Prestar el servicio de centro de atención multicanal, en adelante (Contact center) de acuerdo con las especificaciones determinadas por Colpensiones.
Por otro lado, se conoció la misma convocatoria, hace un par de años, específicamente para 202, para el contrato con el que se va a reemplazar el publicado en la convocaría de 2023.
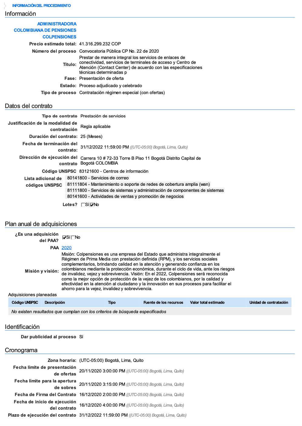
Se trata de la convocatoria pública No 22 de 2020. El precio estimado es de aproximadamente 41.300 millones de pesos y tendría una duración de 25 meses.
El título de esa convocatoria consta de:
- Prestar de manera integral los servicios de enlaces de conectividad, servicios de terminales de acceso y Centro de Atención (Contact Center) de acuerdo con las especificaciones técnicas.
Lo curioso del hecho es que, en el contrato de la convocatoria de 2020 se le estaría pidiendo más servicios y obligaciones al contratista, a comparación del contrato de la convocatoria de 2023. Sin embargo, el monto de la actual es mayor a comparación de la antigua.
Lo anterior ya que en la convocatoria anterior habría:
- Servicios de enlaces de conectividad.
- Servicios de terminales de acceso.
- Centro de atención.
Mientras que en la convocatoria actual solo se contemplaría el servicio de Contact Center. Pero la convocatria actual es por un monto mayor, y menos servicios que la anterior.
Además, en la cláusula del contrato de 2020 se especifica en el objeto prestar los tres servicios anteriormente mencionados

Clausula contrato anterior (2020)

Clausula contrato anterior (2020)
Adicionalmente, en el segundo segmento de la convocatoria actual, donde dice datos del contrato, se cita en el código UNSPSC el servicio de buró de central de llamadas (‘call center’) y en la lista adicional de códigos UNSPSC se cita el servicio de licencias del software del computador.
Mientras que en la convocatoria anterior, que es por menor monto que la actual, en donde dice datos del contrato, se cita en el código UNSPSC “centros de información” y en la lista adicional de códigos UNSPSC se citan los servicios de: servicios de correo, mantenimiento o soporte de redes de cobertura (wan), servicios de sistemas y administración de componentes de sistemas y actividades de ventas y promoción de negocios.
Entonces se cuestionaría el por qué se cobraría más para que hacer menos.
Vea las diferencias de las convocatrias mencionadas
- Convocatoria actual

Convocatoria actual

Convocatoria actual
- Convocatoria anterior

Convocatoria anterior

Convocatoria anterior
Todos los detalles a continuación:






