Fomag entregará 1.6 billones de pesos a operadores de salud sin cumplimiento de requisitos
Para evitar una demanda multimillonaria en circunstancias poco claras, funcionarios del FOMAG y la fiduprevisora han decidido entregar contratos de transacción sustanciales.

Imagen de referencia vía Getty images. / Andrzej Rostek

Desde 2020, los operadores encargados de la salud de los maestros han advertido que demandarán al Estado colombiano por insuficiencia de fondos para atender adecuadamente a cada docente, argumentando que la Unidad de Pago por Capitación (UPC) no es suficiente. Lo sorprendente de esta queja es que fueron los mismos operadores quienes se presentaron en la licitación de 2017, organizada por el Fomag, que les asigna más de 200 mil millones de pesos mensuales, sumando un total de 13 billones de pesos en cuatro años. Además, ellos colaboraron en la elaboración de los pliegos de condiciones y aceptaron todos los términos estipulados.
Sigue La W ha revelado que esta amenaza de demanda no se materializó, pues un integrante del Fomag acordó transferir estos recursos millonarios a los operadores sin cumplir con los requisitos legales necesarios. Se trata de Edwind Alfredo González Rangel, vicepresidente del Fomag, quien, junto con Jhon Mauricio Marín Barbosa, presidente de la Fiduprevisora, habrían decidido otorgar 1.6 billones de pesos a los operadores, argumentando que era preferible evitar una demanda costosa.
Estos fondos se entregarán a través de un contrato de transacción, una figura legal utilizada para concluir o evitar un litigio. Sigue La W ha tenido acceso a los 9 contratos que suman más de 1.3 billones de pesos; uno de ellos, por ejemplo, es con la controvertida empresa COSMITET LTDA REGIÓN 2, representada por Dionisio Alandete, quien ha obtenido este lucrativo contrato en dos regiones del país durante más de 15 años.

Contrato de cosmitet

Contrato de cosmitet




Más información
Este proceso ha estado plagado de irregularidades:
1. No se obtuvo la aprobación del Consejo Directivo del Fomag, requisito estipulado en el manual de contratación del Fomag.
2. No se emitieron los Certificados de Disponibilidad Presupuestal (CDP).
3. No se registraron los compromisos presupuestales necesarios (RP).
4. Este supuesto acuerdo solo beneficia las pretensiones de los contratistas, sin aportar ventajas al Fomag.
5. Incluso, se acordó el pago de intereses moratorios si el desembolso no se realiza a tiempo, intereses que ya han comenzado a acumularse.
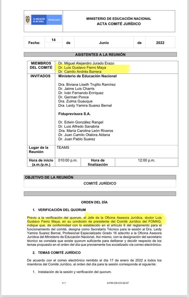
Lo curioso es que esta misma situación fue discutida por la administración anterior del Ministerio de Educación, como lo demuestra un acta del comité jurídico de 2022, en la cual Luis Gustavo Fierro Maya, jefe de la oficina jurídica del Fomag, señaló que la pretensión de los operadores no era procedente, ya que ellos mismos aceptaron voluntariamente los términos de la licitación.

Contrato negado desde 2022

Contrato negado desde 2022


Así, de manera aparentemente sencilla, se desembolsarán 1.6 billones de pesos a los operadores, que han sido objeto de críticas por parte del presidente Gustavo Petro.
¿Permitirá el Ministerio de Educación este traslado de fondos?
¿Autorizará el Ministerio de Hacienda el desembolso?
¿Por qué decidieron entregar estos recursos, si según la jurisprudencia el Estado colombiano tenía altas probabilidades de ganar una posible demanda?
Este medio conoció que esta información ya está en manos del presidente Gustavo Petro.

Paula Bolívar
Periodista y máster en Gerencia de la Transformación Digital de la Universidad Externado, periodista...






